Op Een Go
Langa Ft. Bokke8
ISRC: NL8SP2600061Tijdsduur: 2m:57s seconden
Uitgebracht: 2026-02-13
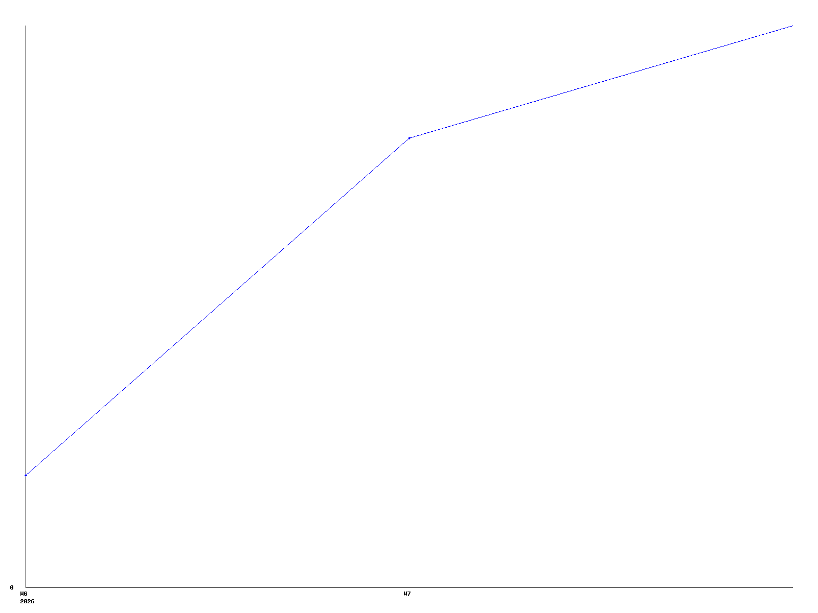
Plays per week
Laatst gespeeld
2026-04-09 22:29:12 - FunX2026-04-08 20:15:15 - FunX
2026-04-07 18:38:37 - FunX
2026-04-07 14:51:06 - FunX
2026-04-03 16:41:58 - FunX
2026-04-02 21:22:00 - FunX
2026-04-01 18:10:26 - FunX
2026-03-31 21:36:55 - FunX
2026-03-30 16:38:19 - FunX
2026-03-26 19:22:37 - FunX
2026-03-25 22:26:09 - FunX
2026-03-23 20:46:34 - FunX
2026-03-21 20:39:03 - FunX
2026-03-19 19:21:40 - FunX
2026-03-18 16:36:37 - FunX
2026-03-16 20:10:22 - FunX
2026-03-13 19:23:41 - FunX
2026-03-12 20:39:37 - FunX
2026-03-11 18:09:01 - FunX
2026-03-09 22:27:07 - FunX
2026-03-06 20:34:49 - FunX
2026-03-05 22:30:44 - FunX
2026-03-04 19:32:53 - FunX
2026-03-03 17:40:59 - FunX
2026-03-02 20:37:27 - FunX